Задать свой вопрос
*более 50 000 пользователей получили ответ на «Решим всё»
Задача 29049
...
Условие
u8083238113
23.07.2018
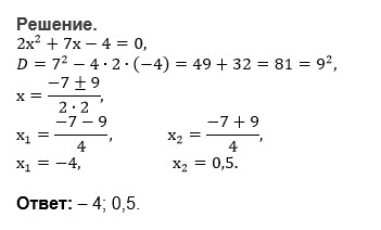
2x²+7x-4=0
предмет не задан
1141
Все решения
u821511235
23.07.2018
Написать комментарий
Меню
Решим всё
Найти задачу
Категории
Статьи
Тесты
Архив задач
Присоединяйся в ВК