Задать свой вопрос   *более 50 000 пользователей получили ответ на «Решим всё»

Задача 28980 Решите уравнение (log3 x + logx 3 +...

Условие

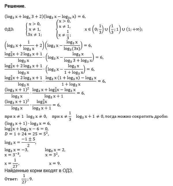
Решите уравнение (log3 x + logx 3 + 2)(log3 x − log(3x) x) = 6.

предмет не задан 737

Все решения

ОДЗ:
{x > 0
{x ≠ 1
{3x ≠ 1 ⇒ x ≠ 1/3
ОДЗ:x ∈ (0;1/3)U(1/3;1)U(1;+ бесконечность )
По формуле перехода к другому основанию:

log_(x)3 = log_(3)3/log_(3)x=1/log_(3)x
log_(3x)x=log_(3)x/log_(3)(3x)=log_(3)x/(log_(3)3+log_(3)x)=
=log_(3)x/(1+log_(3)x)

Замена переменной
log_(3)x=t
Уравнение принимает вид
(t+(1/t)+2)*(t-(t/(1+t)))=6
или
((t^2+2t+1)/t)* ((t^2+t-t)/(1+t))=6

(t+1)^2*t^2/(t*(t+1))=6;

(t*(t+1))^2/(t*(t+1))=6;

{(t+1)*t=6
{t ≠0 и t ≠ -1

Решаем первое уравнение:
t^2+t-6=0
D=1-4*(-6)=1+24=25
t_(1)=(-1-5)/2=-3 или t_(2)=(-1+5)/2=2

-3≠0 и -3 ≠ -1
2≠0 и 2 ≠ -1

Обратная замена

log_(3)x=(-3) или log_(3)x=2
x=3^(-3) или x=3^2
x=1/27 или х=9

Оба найденных корня входят в ОДЗ
О т в е т. (1/27); 9

Написать комментарий

Меню

Присоединяйся в ВК