Задать свой вопрос
*более 50 000 пользователей получили ответ на «Решим всё»
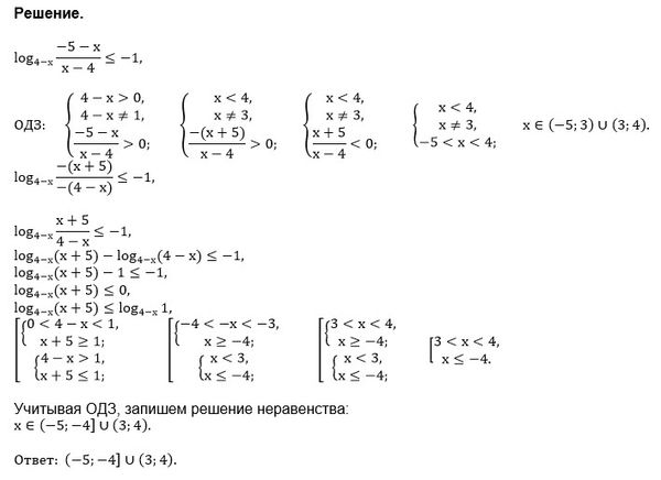
Задача 28905
Помогите решить 15 задание. Сижу на...
Условие
u85140083
12.07.2018
Помогите решить 15 задание. Сижу на экзамене, не могу решить
предмет не задан
661
Все решения
u821511235
12.07.2018
Написать комментарий
Меню
Решим всё
Найти задачу
Категории
Статьи
Тесты
Архив задач
Присоединяйся в ВК