Задать свой вопрос
*более 50 000 пользователей получили ответ на «Решим всё»
Задача 28898
5. Решить систему ...
Условие
slava191
11.07.2018
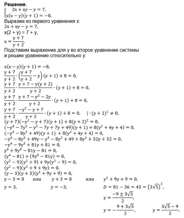
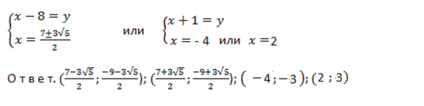
5. Решить систему уравнений
system{2x+xy-y=7;x(x-y)(y+1)=-8}
математика 10-11 класс
2228
Решение
SOVA
11.07.2018
★
Все решения
u821511235
12.07.2018
Написать комментарий
Меню
Решим всё
Найти задачу
Категории
Статьи
Тесты
Архив задач
Присоединяйся в ВК