Задать свой вопрос   *более 50 000 пользователей получили ответ на «Решим всё»

Задача 28874 4. Решите неравенство 3log(sqrt(x))11...

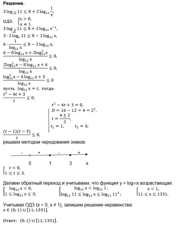
Условие

4. Решите неравенство 3log(sqrt(x))11 меньше или равно 8+2log(11)(1/x)

математика 10-11 класс 1637

Решение

ОДЗ:
{x > 0
{x ≠ 1
ОДЗ=(0;1)U(1;+ бесконечность )

Применяем формулу перехода к другому основания.
log_(sqrt(x))11=log_(11)11/log_(11)sqrt(x)=1/log_(11)sqrt(x)

Применяем свойство логарифма степени:
log_(sqrt(x))11=1/log_(11)x^(1/2)=1/((1/2)*log_(11)x=2/log_(11)x
Применяем свойство логарифма частного:
log_(11)(1/x)=log_(11)1-log_(11)x=0-log_(11)x

Неравенство принимает вид
(6/log_(11)x) меньше или равно 8 -2log_(11)x

Замена переменной:
log_(11)x=t
(6/t) меньше или равно 8-2t
(2t^2-8t+6)/t меньше или равно 0
(t^2-4t+3)/t меньше или равно 0
Применяем метод интервалов.
Находим нули числителя:
t^2-4t+3=0
D=(-4)^2-4*3=16-12=4
t_(1)=(4-2)/2=1 или t_(2)=(4+2)/2=3
Находим нули знаменателя
t=0

Отмечаем их на числовой прямой и расставляем знаки:

______ (0) __+__ [1] ___-_____ [3] ___+___

t < 0 или 1 меньше или равно t меньше или равно 3

log_(11)x < 0
или
1 меньше или равно log_(11)x меньше или равно 3

log_(11)x < log_(11)1
или
log_(11)11 меньше или равно log_(11)x меньше или равно log_(11)11^3

Логарифмическая функция с основанием 11 монотонно возрастает. Большему значению функции соответствует большее значение аргумента
x < 1
или
11 меньше или равно х меньше или равно 1331

С учетом ОДЗ:

О т в е т.(0;1)U [11;1331]

Все решения

Написать комментарий

Меню

Присоединяйся в ВК