Задать свой вопрос   *более 50 000 пользователей получили ответ на «Решим всё»

Задача 28810 4.3.40) Найти координаты точек эллипса...

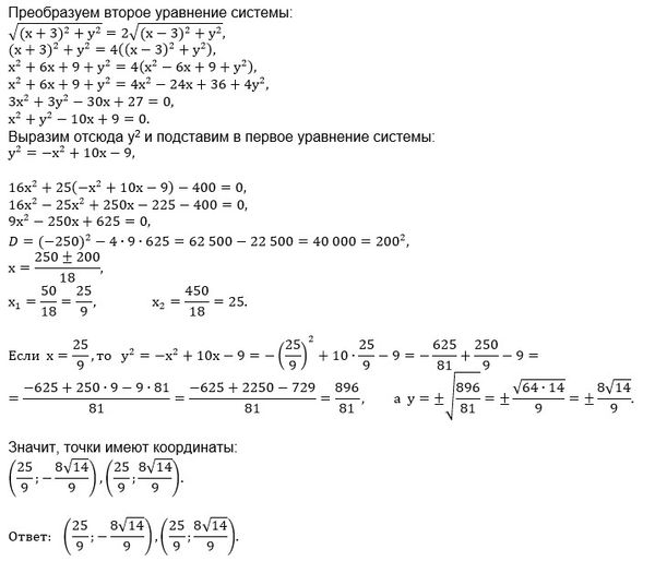
Условие

4.3.40) Найти координаты точек эллипса 16x^2+25y^2-400=0, для которых расстояние от левого фокуса в два раза больше расстояния от правого фокуса.

математика ВУЗ 6678

Решение

Написать комментарий

Меню

Присоединяйся в ВК