Задать свой вопрос   *более 50 000 пользователей получили ответ на «Решим всё»

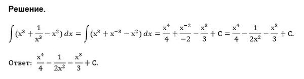
Задача 28780 интеграл х^3+1/х^3-х^2 dx...

Условие

интеграл х^3+1/х^3-х^2 dx

математика ВУЗ 1830

Все решения

Дробь неправильная, степень числителя равна степени знаменателя.
Выделяем целую часть
(x^3+1)/(x^3-x^2)=((x^3-x^2)+(x^2+1))/(x^2-x^2)=

= 1 + ((x^2+1)/(x^3-x^2)

Раскладываем дробь
(x^2+1)/(x^3-x^2) на простейшие.
Знаменатель
x^3-x^2=x^2*(x-1)

(x^2+1)/(x^3-x^2)=(A/x)+(B/x^2)+(D/(x-1))

x^2+1= Ax*(x-1)+B*(x-1)+D*x^2
Применяем метод частных значений
при х=0
1=-В
при х=1
2=4D
D=1/2
при х=2
5=2А+В+4D
A=3

О т в е т.
∫ (x^3+1)/(x^3-x^2)= ∫ (1+(3/x)-(1/x^2)+(1/2)*(1/(x-1)))dx=

=x+3ln|x| +(1/x)+(1/2)ln|x-1| + C

Написать комментарий

Меню

Присоединяйся в ВК