Задать свой вопрос   *более 50 000 пользователей получили ответ на «Решим всё»

Задача 28742 Найти площадь параллелограмма...

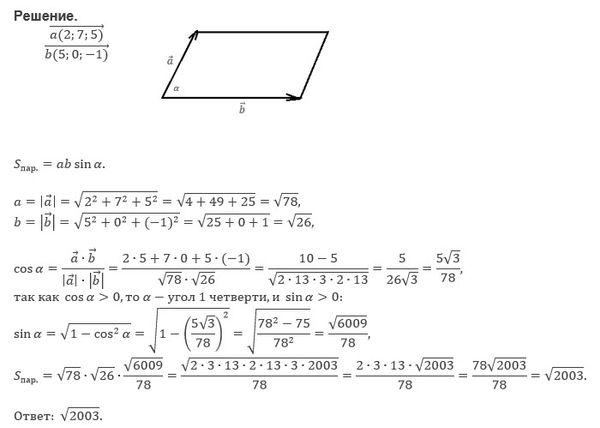
Условие

Найти площадь параллелограмма построеного на векторах a (2,7,5), в(5,0,-1)

предмет не задан 2049

Все решения

Решение:
Разложим векторы по координатным векторам:
a=2i+7j+5k; b=5i+0*j-1*k
Находим векторное произведение a на b:
| i j k |
| 2 7 5 | =i*| 7 5 | -j* | 2 5 | +k*| 2 7 | = -7i+27j-35k
| 5 0 -1 | | 0 -1| | 5 -1| | 5 0 |
Так как модуль векторного произведения двух векторов равен площади построенного на них параллелограмма ,то S=|axb|= sqrt(7^2+27^2+35^2)=sgrt(2003).
Ответ: sgrt(2003)

Написать комментарий

Меню

Присоединяйся в ВК