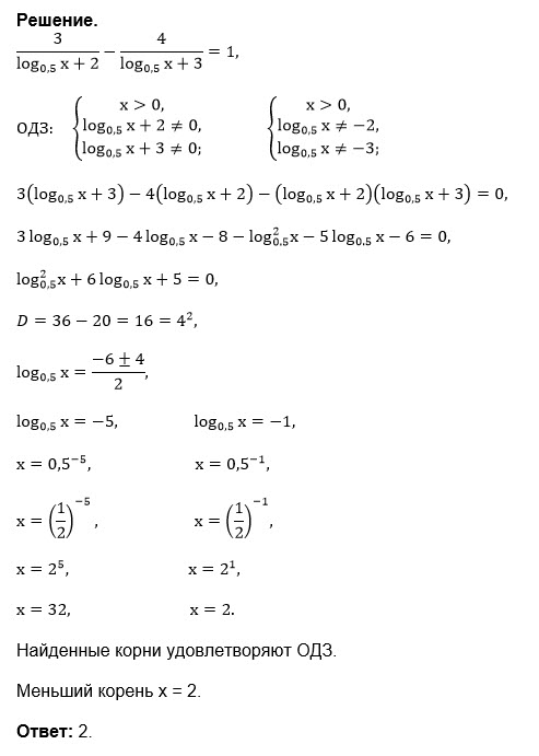
3/(log(0.5)x+2) - 4/(log(0.5)x+3) = 1
log_(0,5)x=t
x > 0
3/(t+2) - 4/(t+3)=1
дробно-рациональное уравнение:
3*(t+3)-4*(t+2)=(t+2)*(t+3)
t^2+6t+5=0
D=36-20=16
t=-1 или t=-5
Обратная замена
log_(0,5)x=-1 ⇒ x=0,5^(-1)
х=2
или
log_(0,5)x=-5 ⇒ x=0,5^(-5)
х=32
О т в е т. 2
