Задать свой вопрос   *более 50 000 пользователей получили ответ на «Решим всё»

Задача 28646 ...

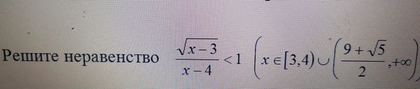
Условие

Решите неравенство

√(x - 3)
------ < 1
x - 4

математика 10-11 класс 599

Решение

ОДЗ:
{x-3 больше или равно 0
(x-4 ≠ 0 ⇒ x ≠ 4
x ∈ [3;4) U(4;+ бесконечность )

Переносим 1 влево и приводим к общему знаменателю
(sqrt(x-3)-(x-4))/(x-4) < 0
Применяем метод интервалов
Нули числителя:
sqrt(x-3)=x-4
Возводим в квадрат при условии x больше или равно 4
х-3=x^2-8x+16
x^2-9x+19=0
D=81-76=5
х=(9+sqrt(5))/2
x=(9-sqrt(5))/2 - не удовл условию х больше или равно 4

Отмечаем нули числителя на ОДЗ:

[3] _____-__ (4) __+__ ((9+sqrt(5))/2) __-__

О т в е т. см. условие задачи

Написать комментарий

Меню

Присоединяйся в ВК