Задать свой вопрос
*более 50 000 пользователей получили ответ на «Решим всё»
Задача 28591
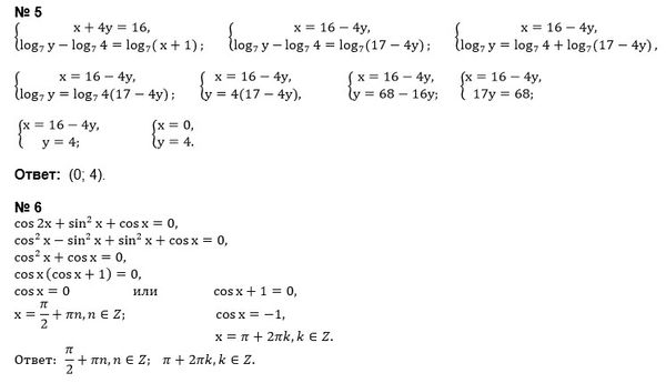
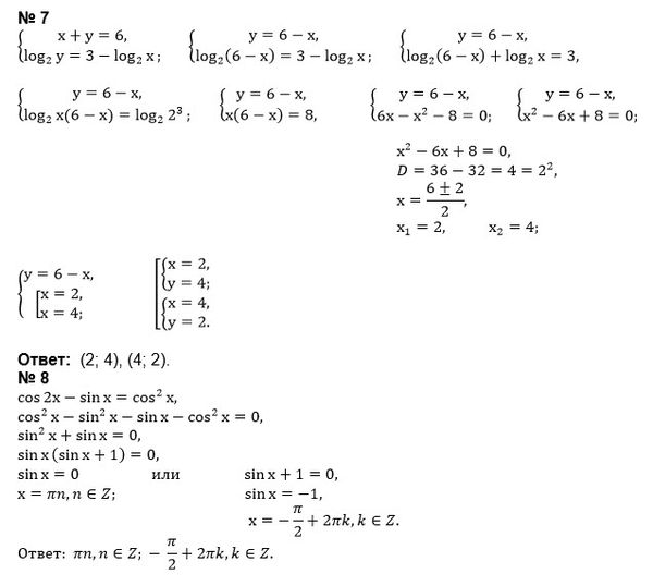
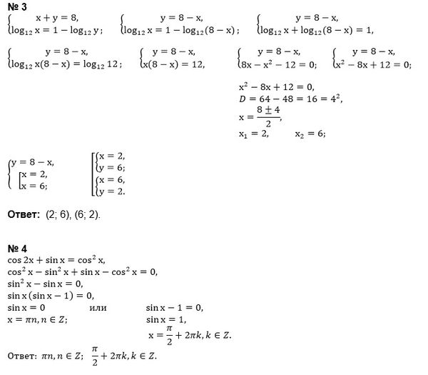
Все на картинке...
Условие
u931712536
21.06.2018
Все на картинке
математика ВУЗ
636
Все решения
u821511235
21.06.2018
Написать комментарий
Меню
Решим всё
Найти задачу
Категории
Статьи
Тесты
Архив задач
Присоединяйся в ВК