Задать свой вопрос
*более 50 000 пользователей получили ответ на «Решим всё»
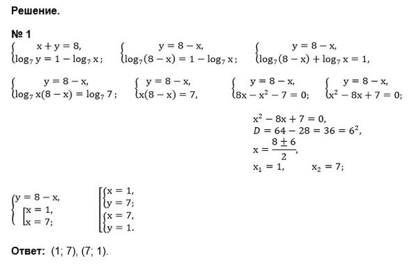
Задача 28590
Все на картинке...
Условие
u931712536
21.06.2018
Все на картинке
предмет не задан
508
Решение
u821511235
21.06.2018
★
Написать комментарий
Меню
Решим всё
Найти задачу
Категории
Статьи
Тесты
Архив задач
Присоединяйся в ВК