Задать свой вопрос
*более 50 000 пользователей получили ответ на «Решим всё»
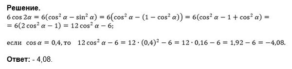
Задача 28562
6 cos 2a, если 0,4 ...
Условие
u8526234243
20.06.2018
6 cos 2a, если 0,4
предмет не задан
3200
Все решения
u821511235
20.06.2018
Написать комментарий
Меню
Решим всё
Найти задачу
Категории
Статьи
Тесты
Архив задач
Присоединяйся в ВК