Задать свой вопрос
*более 50 000 пользователей получили ответ на «Решим всё»
Задача 28561
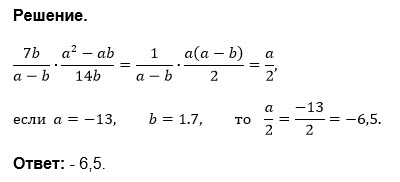
Найдите значение выражения 7b/(a-b) +...
Условие
u8514022
20.06.2018
Найдите значение выражения 7b/(a-b) + (a^2-ab)/14b при a=-13, b=1.7.
предмет не задан
582
Все решения
u821511235
20.06.2018
Написать комментарий
Меню
Решим всё
Найти задачу
Категории
Статьи
Тесты
Архив задач
Присоединяйся в ВК