Задать свой вопрос
*более 50 000 пользователей получили ответ на «Решим всё»
Задача 28560
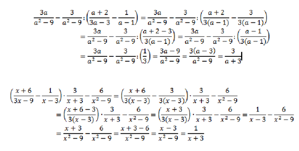
Все на картинке...
Условие
vk222904386
20.06.2018
Все на картинке
предмет не задан
515
Все решения
SOVA
21.06.2018
Написать комментарий
Меню
Решим всё
Найти задачу
Категории
Статьи
Тесты
Архив задач
Присоединяйся в ВК