Задать свой вопрос
*более 50 000 пользователей получили ответ на «Решим всё»
Задача 28554
...
Условие
u85173179188
19.06.2018
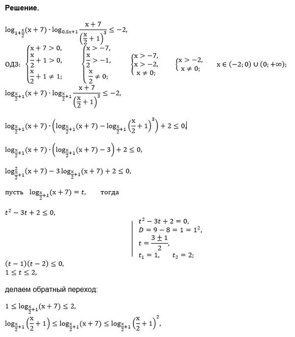
log1 + x/2(x+7)·log0,5x + 1((x+7)/(x/2 + 1)3) ≤ –2
предмет не задан
1732
Все решения
u821511235
20.06.2018
Написать комментарий
Меню
Решим всё
Найти задачу
Категории
Статьи
Тесты
Архив задач
Присоединяйся в ВК