Задать свой вопрос
*более 50 000 пользователей получили ответ на «Решим всё»
Задача 28528
Найти первообразную функции f...
Условие
u17867153112
18.06.2018
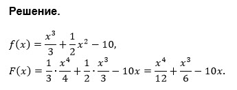
Найти первообразную функции f (x)=x^3/3+1/2 x^2-10
математика 10-11 класс
848
Все решения
u821511235
18.06.2018
Написать комментарий
Меню
Решим всё
Найти задачу
Категории
Статьи
Тесты
Архив задач
Присоединяйся в ВК