Задать свой вопрос
*более 50 000 пользователей получили ответ на «Решим всё»
Задача 28520
...
Условие
u18816222844
17.06.2018
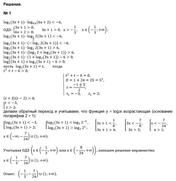
Решите неравенства
log₂(3x+1)·log₀․₅(6x+2) ≤ -6
sqrt(10-x^2) > |x-1|/x-1
математика 10-11 класс
581
Решение
u821511235
17.06.2018
★
Написать комментарий
Меню
Решим всё
Найти задачу
Категории
Статьи
Тесты
Архив задач
Присоединяйся в ВК