Задать свой вопрос
*более 50 000 пользователей получили ответ на «Решим всё»
Задача 28519
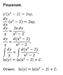
y'(x^2-2)=2xy решить диф уравнение...
Условие
u783020522
17.06.2018
y'(x^2-2)=2xy решить диф уравнение
математика ВУЗ
690
Решение
u821511235
17.06.2018
★
Написать комментарий
Меню
Решим всё
Найти задачу
Категории
Статьи
Тесты
Архив задач
Присоединяйся в ВК