Задать свой вопрос
*более 50 000 пользователей получили ответ на «Решим всё»
Задача 28513
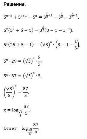
5^2+5^x+1-5^x 3^x/2+1-3^x/2-3^x/2-1...
Условие
u1765920048
17.06.2018
5^2+5^x+1-5^x 3^x/2+1-3^x/2-3^x/2-1
предмет не задан
1290
Все решения
u821511235
26.06.2018
Написать комментарий
Меню
Решим всё
Найти задачу
Категории
Статьи
Тесты
Архив задач
Присоединяйся в ВК