Задать свой вопрос
*более 50 000 пользователей получили ответ на «Решим всё»
Задача 28496
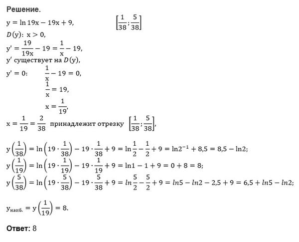
Найдите наибольшее значение функции...
Условие
u9518978255
15.06.2018
Найдите наибольшее значение функции y=ln(19x)−19x+9 на отрезке [138;538].
предмет не задан
11909
Все решения
u821511235
15.06.2018
Написать комментарий
Меню
Решим всё
Найти задачу
Категории
Статьи
Тесты
Архив задач
Присоединяйся в ВК