Задать свой вопрос
*более 50 000 пользователей получили ответ на «Решим всё»
Задача 28494
...
Условие
u9424512871
15.06.2018
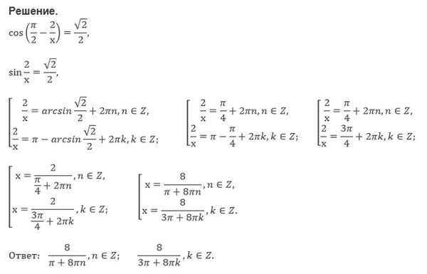
Решите уравнение:cos(π/2-2/x)=√2/2
математика
747
Решение
u821511235
15.06.2018
★
Написать комментарий
Меню
Решим всё
Найти задачу
Категории
Статьи
Тесты
Архив задач
Присоединяйся в ВК