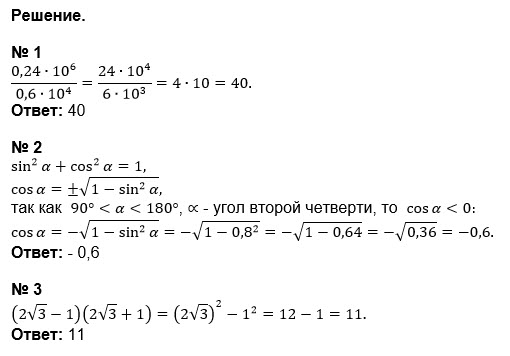
1. Найти значение выражения 0,24 · 10⁶ / 0,6 · 10⁴
2. Найдите cos α, если sin α = 0,8 и 90° < α < 180°
3. Найти значение выражения (2√3 - 1) · (2√3 + 1)
4. Найти корень уравнения 3ˣ⁻³ = 81
5. Решите неравенство 5ˣ⁻² < 25
6. Вычислите 6³ log₆ 2
7. Вычислите log₅ 2,5 + log₅ 10
8. Решите уравнение log₂(3x + 1) = 4
