Задать свой вопрос
*более 50 000 пользователей получили ответ на «Решим всё»
Задача 28486
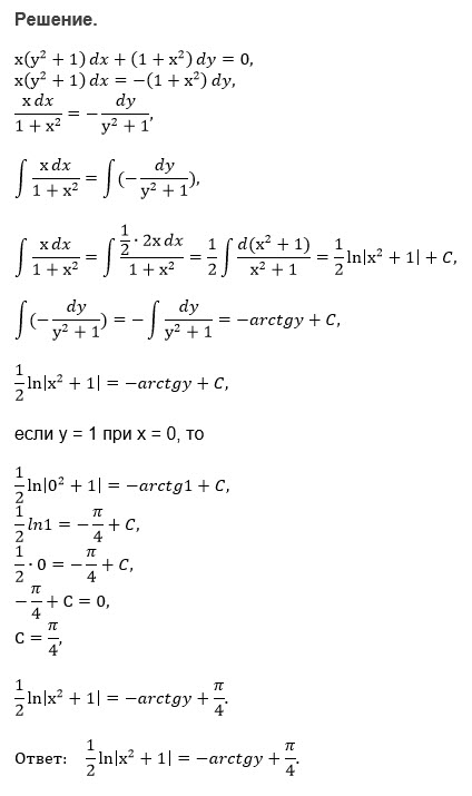
x(y^2+1)dx+(1+x^2)=0; если у=1 при х=0...
Условие
u95189202117
14.06.2018
x(y^2+1)dx+(1+x^2)=0; если у=1 при х=0
математика 10-11 класс
607
Все решения
u821511235
16.06.2018
Написать комментарий
Меню
Решим всё
Найти задачу
Категории
Статьи
Тесты
Архив задач
Присоединяйся в ВК