Задать свой вопрос
*более 50 000 пользователей получили ответ на «Решим всё»
Задача 28483
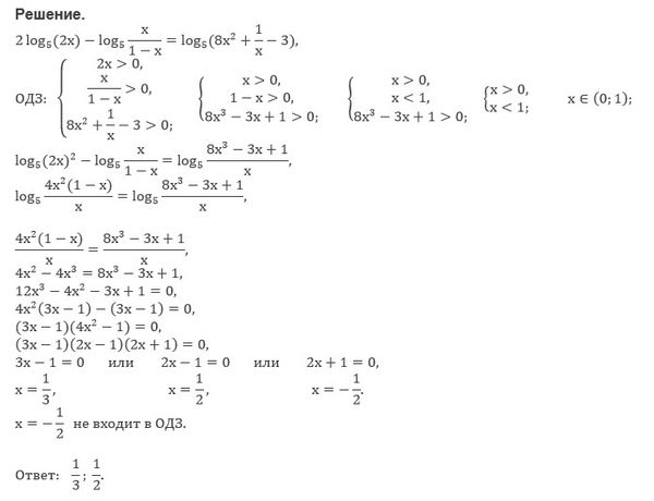
2log5(2x)-log5(x/1-x)=log 5(8x^2+1/x-3)...
Условие
u176593766
14.06.2018
2log5(2x)-log5(x/1-x)=log 5(8x^2+1/x-3)
предмет не задан
5260
Все решения
u821511235
14.06.2018
Написать комментарий
Меню
Решим всё
Найти задачу
Категории
Статьи
Тесты
Архив задач
Присоединяйся в ВК