Задать свой вопрос
*более 50 000 пользователей получили ответ на «Решим всё»
Задача 28479
...
Условие
u9515312840
14.06.2018
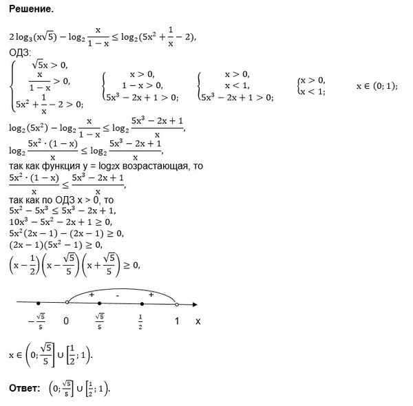
2log2(x√5)-log2(x/1-x) < =log2(5x²+1/x-2)
предмет не задан
23543
Все решения
u821511235
14.06.2018
Написать комментарий
Меню
Решим всё
Найти задачу
Категории
Статьи
Тесты
Архив задач
Присоединяйся в ВК