Задать свой вопрос
*более 50 000 пользователей получили ответ на «Решим всё»
Задача 28472
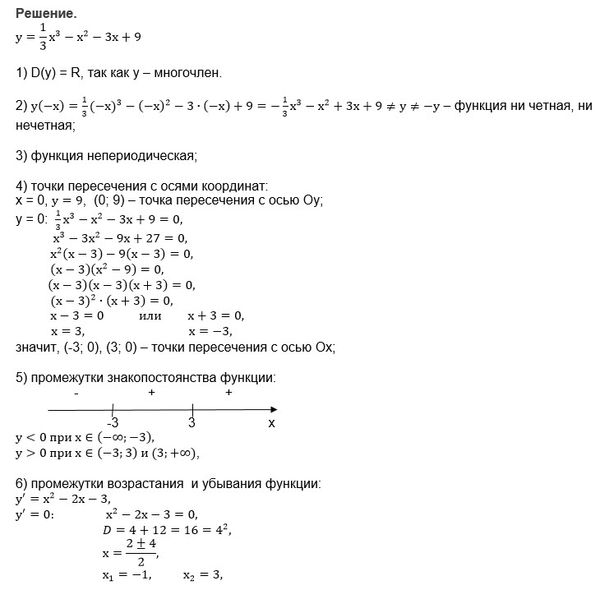
Исследование функции у=1/3 х^3-х^2-3х+9 ...
Условие
u2129686109
14.06.2018
Исследование функции у=1/3 х^3-х^2-3х+9
и построение графика
математика 10-11 класс
5521
Все решения
u821511235
14.06.2018
Написать комментарий
Меню
Решим всё
Найти задачу
Категории
Статьи
Тесты
Архив задач
Присоединяйся в ВК