Задать свой вопрос
*более 50 000 пользователей получили ответ на «Решим всё»
Задача 28471
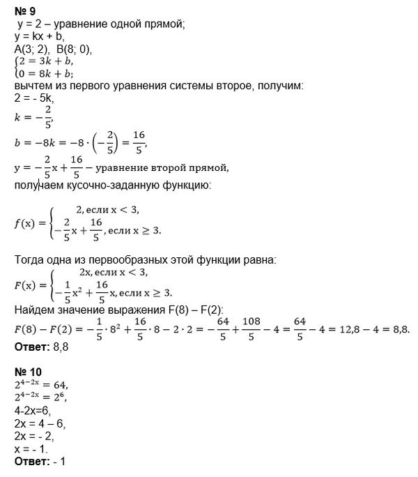
Спасите!Помагите! Все на картинке)))...
Условие
Nastya142536
14.06.2018
Спасите!Помагите!
Все на картинке)))
математика
555
Все решения
u821511235
14.06.2018
Написать комментарий
Меню
Решим всё
Найти задачу
Категории
Статьи
Тесты
Архив задач
Присоединяйся в ВК