Задать свой вопрос
*более 50 000 пользователей получили ответ на «Решим всё»
Задача 28470
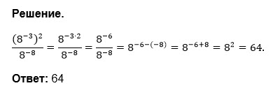
(8^-3)^2/8^-8...
Условие
u2171507249
14.06.2018
(8^-3)^2/8^-8
предмет не задан
1064
Все решения
u821511235
14.06.2018
Написать комментарий
Меню
Решим всё
Найти задачу
Категории
Статьи
Тесты
Архив задач
Присоединяйся в ВК