Задать свой вопрос
*более 50 000 пользователей получили ответ на «Решим всё»
Задача 28461
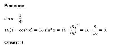
Найти значение вырожения 16 (1-cos в...
Условие
u91142158204
13.06.2018
Найти значение вырожения 16 (1-cos в квадрате x)если sinx=3_4 дробью
предмет не задан
940
Все решения
u821511235
13.06.2018
Написать комментарий
Меню
Решим всё
Найти задачу
Категории
Статьи
Тесты
Архив задач
Присоединяйся в ВК