Задать свой вопрос
*более 50 000 пользователей получили ответ на «Решим всё»
Задача 28455
...
Условие
u85140358
13.06.2018
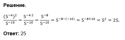
(5^-⁴)²/5^-10
предмет не задан
845
Все решения
u821511235
13.06.2018
Написать комментарий
Меню
Решим всё
Найти задачу
Категории
Статьи
Тесты
Архив задач
Присоединяйся в ВК