Задать свой вопрос
*более 50 000 пользователей получили ответ на «Решим всё»
Задача 28448
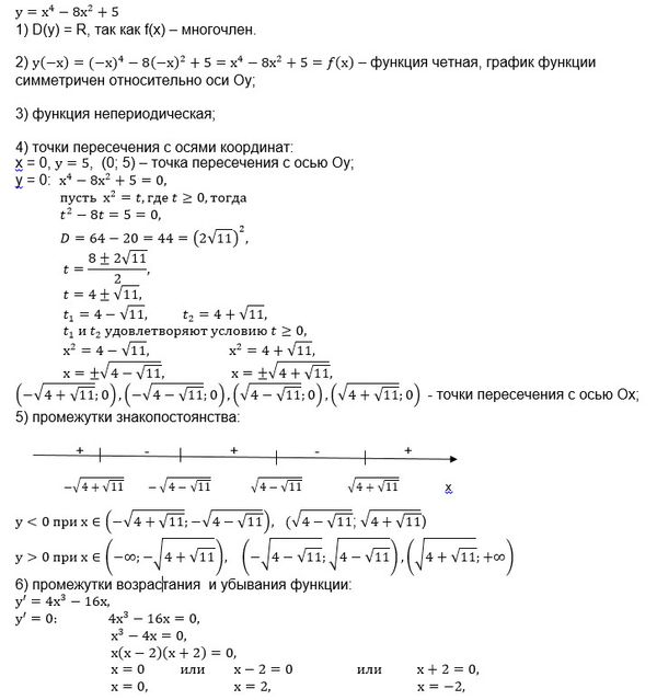
Исследовать функцию и построить график ...
Условие
u188162228143
13.06.2018
Исследовать функцию и построить график
предмет не задан
657
Все решения
u821511235
13.06.2018
Написать комментарий
Меню
Решим всё
Найти задачу
Категории
Статьи
Тесты
Архив задач
Присоединяйся в ВК