Задать свой вопрос
*более 50 000 пользователей получили ответ на «Решим всё»
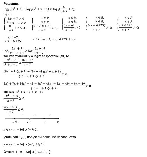
Задача 28293
Log5(8x^2+7)-log5(x^2+x+1)больше или...
Условие
u261158190
04.06.2018
Log5(8x^2+7)-log5(x^2+x+1)больше или равно log5(x/x+7 + 7)
математика 10-11 класс
5554
Все решения
u821511235
04.06.2018
Написать комментарий
Меню
Решим всё
Найти задачу
Категории
Статьи
Тесты
Архив задач
Присоединяйся в ВК