Задать свой вопрос
*более 50 000 пользователей получили ответ на «Решим всё»
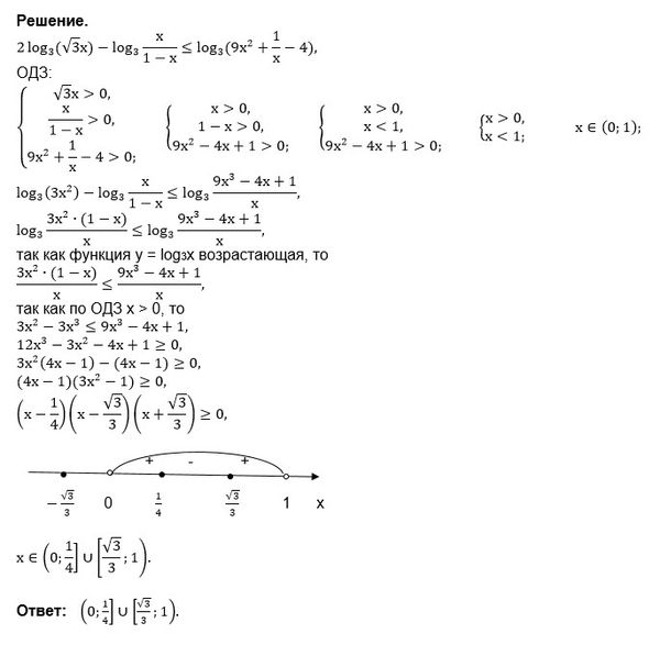
Задача 28266
ЕГЭ математика профильный уровень 2018...
Условие
u4617210229
03.06.2018
ЕГЭ математика профильный уровень 2018
математика 10-11 класс
2175
Все решения
u821511235
03.06.2018
Написать комментарий
Меню
Решим всё
Найти задачу
Категории
Статьи
Тесты
Архив задач
Присоединяйся в ВК