Задать свой вопрос
*более 50 000 пользователей получили ответ на «Решим всё»
Задача 28264
...
Условие
u176109244125
03.06.2018
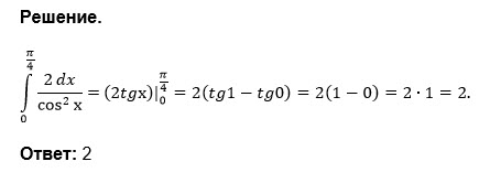
∫ (2 dx / cos² x ) =
предмет не задан
537
Все решения
SOVA
03.06.2018
Табличный интеграл
=(2tgx)|^(Pi/4)_(0)=2tg(Pi/4)-2tg0=2*1-0=2
u821511235
03.06.2018
Написать комментарий
Меню
Решим всё
Найти задачу
Категории
Статьи
Тесты
Архив задач
Присоединяйся в ВК