Задать свой вопрос   *более 50 000 пользователей получили ответ на «Решим всё»

Задача 28259 ...

Условие

∫_(AB) y ds по параболе y^2 = 2x от точки (0;0) до точки (2;2).

математика ВУЗ 790

Решение

Формула одинакова как для y=f(x) так и для x=f^(-1)(y)
s(длина дуги)= ∫ ^(бета)_(альфа) sqrt(1+(x`(y)^2))dy

x=2y^2
x`=4y

1+(x`)^2=1+(4y)^2=

s(длина дуги)= ∫ ^(2)_(0) sqrt(1+4y^2)dy=

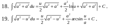
[ интегрируем по частям или находим готовую формулу 18.
[b]u=2y[b]]

=(y*sqrt(1+4y^2)+ln|2y+sqrt(1+4y^2)|)|^(2)_(0)=

=2*3+ln(4+3)=6+ln7

Написать комментарий

Меню

Присоединяйся в ВК