Задать свой вопрос   *более 50 000 пользователей получили ответ на «Решим всё»

Задача 28249 ...

Условие

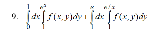
Изменить порядок интегрирования.

9. ∫[0 to 1] dx ∫[1 to e^x] f(x, y) dy + ∫[1 to e] dx ∫[1 to e^(1/x)] f(x, y) dy.

математика ВУЗ 713

Решение

= ∫ ^(е)_(1)dy ∫ ^(e/y)_(lny)f(x;y)dy

Написать комментарий

Меню

Присоединяйся в ВК