Задать свой вопрос   *более 50 000 пользователей получили ответ на «Решим всё»

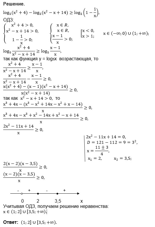
Задача 28248 log5(x^2+4)–log5(x^2–x+14) >...

Условие

log5(x^2+4)–log5(x^2–x+14) > =log5(1–1/x)

математика 10-11 класс 6652

Все решения

Вопросы к решению (1)

Написать комментарий

Меню

Присоединяйся в ВК