Задать свой вопрос
*более 50 000 пользователей получили ответ на «Решим всё»
Задача 28242
...
Условие
u9532164242
02.06.2018
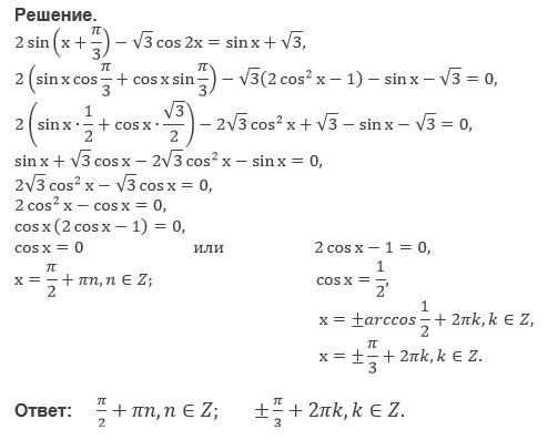
√3sin(x+pi/3)-√3cos2x=sinx+√3
математика 10-11 класс
6307
Все решения
u821511235
02.06.2018
Написать комментарий
Меню
Решим всё
Найти задачу
Категории
Статьи
Тесты
Архив задач
Присоединяйся в ВК