Задать свой вопрос   *более 50 000 пользователей получили ответ на «Решим всё»

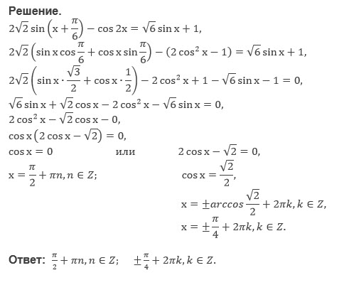
Задача 28234 2 sqrt 2*sin(x+п/6)-cos2x=sqrt 6*sinx-1...

Условие

2 sqrt 2*sin(x+п/6)-cos2x=sqrt 6*sinx-1

математика 10-11 класс 6416

Решение

Все решения

2sqrt(2)sin(x+(Pi/6))=2sqrt(2)*(sinx*cos(Pi/6)+cosx*sin(Pi/6))=
=2sqrt(2)((sqrt(3)/2)*sinx + (1/2)*cosx)=
=sqrt(6)sinx+sqrt(2)cosx

Уравнение примет вид:
sqrt(6)sinx+sqrt(2)cosx-cos2x=sqrt(6)sinx-1
или
sqrt(2)cosx-(2cos^2x-1)=-1
2cos^2x-sqrt(2)cosx-2=0
D=(-sqrt(2))^2-4*2*(-2)=18
корни (sqrt(2) ± 3sqrt(2))/4

cosx=-sqrt(2)/2 ⇒ x= ± (3Pi/4)+2Pin, n ∈ Z
или
сosx=sqrt(2) - уравнение не имеет корней, |cosx|
меньше или равно 1, а sqrt(2) > 1

О т в е т. ± (3Pi/4)+2Pin, n ∈ Z

Написать комментарий

Меню

Присоединяйся в ВК