Задать свой вопрос   *более 50 000 пользователей получили ответ на «Решим всё»

Задача 28233 ...

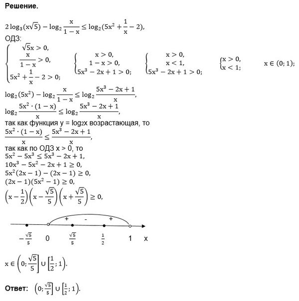
Условие

2log2(x √5) - log2( x / (1 - x) ) ≤ log2(5x² + 1/x - 2 )

предмет не задан 1171

Решение

ОДЗ:
{xsqrt(5) > 0 ⇒ x > 0
{x/(1-x) > 0 ⇒ x/(x-1) < 0 ⇒ x ∈ (0;1)
{(5x^2+(1/x)-2) > 0 ⇒ при x > 0 (5x^3-2x+1) > 0
так как y`=(5x^3-2x+1)=10x^2-2 и график функции см. рис расположен выше оси Ох при x > 0

Применяем свойства логарифма степени
2log_(2)(xsqrt(5))=log_(2)5x^2
и разность логарифмов заменяем логарифмом частного

log_(2)5x^2(1-x)/x меньше или равно log_(2)(5x^2+(1/x)-2)

Логарифмическая функция с основанием 2 возрастающая, поэтому
5x^2(1-x)/x меньше или равно 5x^2+(1/x)-2 (#)

(5x^2-5x^3-5x^3+2x-1)/x меньше или равно 0
(-10x^3+5x^2+2x-1)/x меньше или равно 0
При x > 0
-10x^3+5x^2+2x-1 меньше или равно 0
Меняем знак и знак неравенства:
10x^3-5x^2-2x+1 больше или равно 0
Раскладываем левую часть на множители способом группировки
5x^2*(2x-1)-(2x-1) больше или равно 0
(5x^2-1)*(2x-1) больше или равно 0
Применяем метод интервалов
Находим нули функции
5x^2-1 = 0 или 2х-1 =0
x^2=1/5 или 2х=1
x=±1/sqrt(5) или х=1/2

sqrt(5) > 2 значит
1/sqrt(5) < 1/2

_-__ [-1/sqrt(5)] __+__ [1/sqrt(5)] __-_ [1/2] __+__

Решение неравенства (#):
[-1/sqrt(5);1/sqrt(5)] U[1/2;+ бесконечность)


С учетом ОДЗ получаем о т в е т.
(0;1/sqrt(5)] U[1/2;1)

Все решения

Написать комментарий

Меню

Присоединяйся в ВК