Задать свой вопрос   *более 50 000 пользователей получили ответ на «Решим всё»

Задача 28232 log3(x2+2)-log3(x2–x+12)= > log3(1–1/x)...

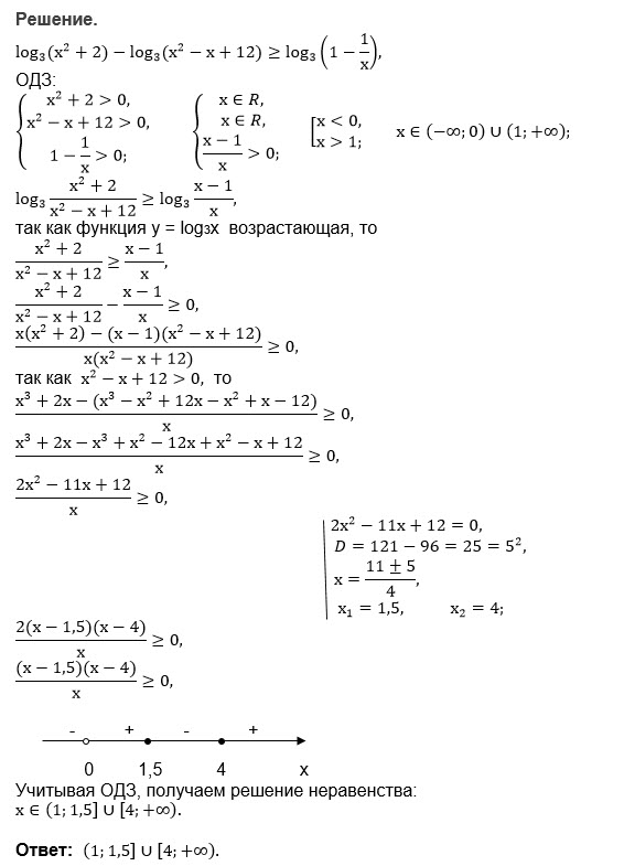
Условие

log3(x2+2)-log3(x2–x+12)= > log3(1–1/x)

предмет не задан 19655

Решение

Все решения

ОДЗ:
{x^2+2 > 0 ⇒ x- любое
{x^2-x+12 > 0 ⇒ верно при любом x, D < 0
{1-(1/x) > 0 ⇒ (x-1)/x > 0 ⇒ x < 0 или х > 1
ОДЗ: x < 0 или х > 1

Разность логарифмов заменяем логарифмом частного.

log_(3)(x^2+2)/(x^2-x+12) больше или равно log_(3) (1-(1/х))

Логарифмическая функция возрастает с основанием 3, поэтому
((x^2+2)/(x^2-x+12)больше или равно(x-1)/x

Переносим слагаемые из правой части влево и приводим к общему знаменателю

((x^2+2)*x-(x-1)*(x^2-x+12))/(х*(x^2-x+12)) больше или равно 0

(x^3+2x-x^3+x^2-12x+x^2-x+12)/(х*(x^2-x+12) больше или равно 0

(2x^2-11x+12)/(x*(x^2-x+12)) больше или равно 0

Решаем методом интервалов:
D=(-11)^2-4*2*12=121-96=25

x=(11-5)/4=3/2 или х=(11+5)/4=4

_-__ (0) __+__ [3/2] _-__[4] _+__

x∈ (0;3/2] U[4;+бесконечность)
С учетом ОДЗ получаем ответ

О т в е т. (1;3/2] U[4; + бесконечность)

Написать комментарий

Меню

Присоединяйся в ВК