Задать свой вопрос
*более 50 000 пользователей получили ответ на «Решим всё»
Задача 28228
...
Условие
vk465888965
01.06.2018
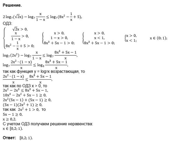
2log7 (x√2) - log7 (x/(1-x)) ≤ log7 (8x^2 - 1/x +5)
математика 10-11 класс
31496
Все решения
u821511235
01.06.2018
Написать комментарий
Меню
Решим всё
Найти задачу
Категории
Статьи
Тесты
Архив задач
Присоединяйся в ВК