Задать свой вопрос   *более 50 000 пользователей получили ответ на «Решим всё»

Задача 28223 ...

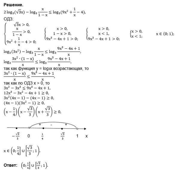
Условие

2log3(√3x) - log3(x/(1-x)) ≤ log3(9x²+(1/x)-4)
Вот и прошло ЕГЭ по математике (П), хочется узнать правильное решение

математика 10-11 класс 4000

Все решения

Написать комментарий

Меню

Присоединяйся в ВК