Задать свой вопрос   *более 50 000 пользователей получили ответ на «Решим всё»

Задача 28217 Помогите,...

Условие

Помогите, пожалуйста!
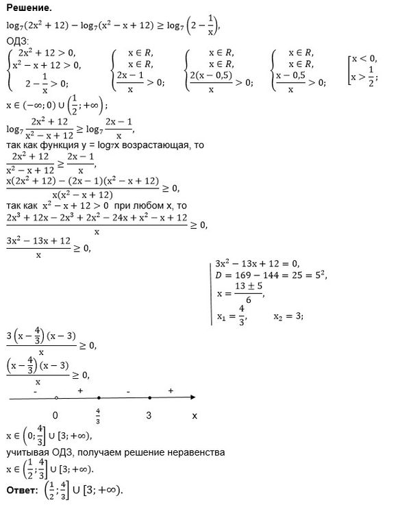
log7(2x^2+12)-log7(x^2-x+12)»log7(2-1/x)

математика 10-11 класс 40209

Все решения

ОДЗ:
{2x^2+12 > 0 ⇒ верно при любом х
{x^2-x+12 > 0 ⇒ верно при любом x, D < 0
{2-(1/x) > 0 ⇒ (2x-1)/x > 0 ⇒ x < 0 или х > 1/2

Разность логарифмом заменяем логарифмом частного.
Логарифмическая функция с основанием 7 возрастающая, поэтому
(2x^2+12)/(x^2-x+12) больше или равно 2-(1/х)

((2x^2+12)*x-2x*(x^2-x+12)+x^2-x+12)/(x*(x^2-x+12))
больше или равно 0

(3x^2-13x+12)/(x*(x^2-x+12)) больше или равно 0
3x^2-13x+12=0
D=(-13)^2-4*3*12=169-144=25
x=(13-5)/6=4/3 или х=(13+5)/6=3

_-__ (0) ___+___ [4/3] ____-___ [3] __+___

(0;4/3]U[3;+ бесконечность )

C учетом ОДЗ получаем ответ
((1/2);(4/3)] U [3;+ бесконечность)

Вопросы к решению (1)

Вопросы к решению (1)

Написать комментарий

Меню

Присоединяйся в ВК