Задать свой вопрос
*более 50 000 пользователей получили ответ на «Решим всё»
Задача 28143
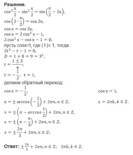
cos^2 (x/2)-sin^2(x/2)=sin(pi/2-2x)...
Условие
u21387148218
31.05.2018
cos^2 (x/2)-sin^2(x/2)=sin(pi/2-2x)
математика 10-11 класс
45392
Все решения
u821511235
31.05.2018
Написать комментарий
Меню
Решим всё
Найти задачу
Категории
Статьи
Тесты
Архив задач
Присоединяйся в ВК