Задать свой вопрос
*более 50 000 пользователей получили ответ на «Решим всё»
Задача 28142
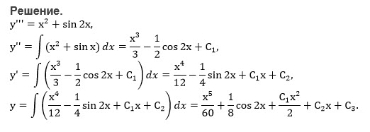
y'''=x^2+sin 2x...
Условие
u3117312047
31.05.2018
y'''=x^2+sin 2x
математика ВУЗ
844
Все решения
u821511235
31.05.2018
Написать комментарий
Меню
Решим всё
Найти задачу
Категории
Статьи
Тесты
Архив задач
Присоединяйся в ВК