Задать свой вопрос   *более 50 000 пользователей получили ответ на «Решим всё»

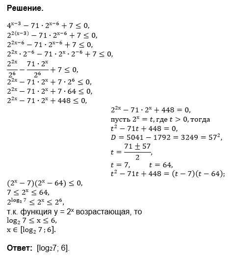
Задача 28069 почему 2^х > 7? ...

Условие

почему 2^х > 7?

предмет не задан 836

Все решения

Двойное неравенство
7 меньше или равно t меньше или равно 64
равносильно системе двух неравенств
{7 меньше или равно t ⇒ t больше или равно 7
{t меньше или равно 64

Обратная замена приводит к неравенствам
{2^x больше или равно 7
{2^x меньше или равно 64

Написать комментарий

Меню

Присоединяйся в ВК