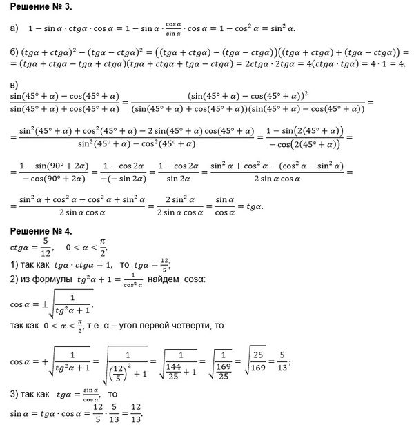
a) sin альфа *ctg альфа =sin альфа *(cos альфа /sin альфа )=cos альфа
1-sin альфа *ctg альфа *cos альфа =1-cos^2 альфа =sin^2 альфа
б) tg^2 альфа +2tg альфа *ctg альфа +ctg^2 альфа -tg^2 альфа +2tg альфа *ctg альфа -ctg^2 альфа =
=4tg альфа *ctg альфа =4
в)
Делим и числитель и знаменатель на cos(45 градусов + альфа ), получим
(tg (45 градусов + альфа )-1)/(tg(45 градусов + альфа )+1)=
=
( так как 1 = tg 45 градусов, применяем формулы разности тангенсов и суммы тангенсов)
=(tg(45 градусов + альфа )-tg 45 градусов)/(tg(45 градусов + альфа )+tg 45 градусов)=
=sin альфа /sin(90 градусов + альфа )=
=sin альфа / cos альфа =tg альфа
4.
1+ctg^2x=1/sin^2x
sin^2x=1/(1+(5/12)^2)
sin^2x=1/(1+(25/144))=144/169
Так как угол х в первой четверти
и синус и косинус имеют знаки +
sinx=12/13
cosx=sqrt(1-sin^2x)=sqrt(1-144/169)=sqrt(25/169)=5/13
tgx=sinx/cosx=12/5
ctgx=5/12
5.
S=a^2=25,5^2=650, 25 кв м
Р=4а=4*25,5=102 м
6. Н=6*sin45 градусов=6sqrt(2)/2=3sqrt(2)
S=(a+b)*H/2=(10+12)*3sqrt(2)/2=33 sqrt(2)
(cм. рис)

