Задать свой вопрос   *более 50 000 пользователей получили ответ на «Решим всё»

Задача 28041 ...

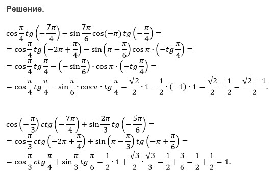
Условие

cos π/4 tg(-7π/4)-sin⁡(7π/6) cos⁡(-π)tg(-π/4)
вторая задача
cos(-π/3)ctg(-7π/4)+sin 2π/3 tg(-5π/6)

математика 3191

Решение

Все решения

сos π/4=sqrt(2)/2
tg(–7π/4)=tg((π/4)-2π)= - (tg(2π)-(π/4))= - (-tg(π/4))=1
sin⁡(7π/6)=sin(π+(π/6))=- sin(π/6)=-1/2
cos⁡(–π)=-1
tg(–π/4)=-1
cos π/4 tg(–7π/4)–sin⁡(7π/6) cos⁡(–π)tg(–π/4)=
=(sqrt(2)/2)+(1/2)=(sqrt(2)+1)/2


вторая задача
cos(–π/3)=cos(π/3)= 1/2
ctg(–7π/4)=ctg((π/4)-2π)= - (ctg(2π)-(π/4))= - (-ctg(π/4))=1
sin (2π/3)=sqrt(3)/2
tg(–5π/6) =-tg(5π/6) =-tg(π-(π/6))=-(-tg( π/6))=sqrt(3)/3

cos(–π/3)ctg(–7π/4)+sin 2π/3 tg(–5π/6)=(1/2)+(3/6)=1

Написать комментарий

Меню

Присоединяйся в ВК